随着我国经济的飞速发展和科技的进步,电梯随着高层建筑的增多已经越来越普遍存在于我们的生活当中,电梯的安全问题越发的引起了人们的重视。防坠安全器(图1)是电梯升降机配备的最重要的安全保护装置,是在电梯超速下行或坠落时的最后一道安全保护措施。在电梯所有安全装置失效的情况下,电梯呈自由落体状态,当下降速度达到正常运行速度的1.6 倍时,安全器动作,锥鼓锁死,靠输出齿轮与齿条制动,同时控制电路断电。作为电梯的保安关键件,锥鼓原先为铸件,曾在电梯坠落过程中破裂而失效过,现在逐步改为锻件。
锥鼓的锻造竞彩足球投注性分析
锥鼓为足球彩票模锻件,尺寸精度较高、机械体彩竞猜余量少。锥鼓属具有深孔薄壁特征、形状较复杂的肋腹锻件。在主轴方向上截面形状变化剧烈,因此,锻造难度较大。锻造过程中容易受到不均匀热收缩变形、氧化皮影响,精化部位的非体彩竞猜尺寸精度更难保证。图2 所示为我公司承制的某型号锥鼓。锻件重11.5kg, 材质为42CrMo, 包容体尺寸φ 234mm×218mm,沿主轴方向截面尺寸变化剧烈:从φ 42mm → φ 200mm → φ 125mm( 锻件的复杂因数为S4)。锥鼓内壁均为非体彩竞猜面,拔模斜度仅为0.8°。锻件的内外壁同轴度要求≤ 0.5mm。该锻件分模面严格说是冲头曲面,出模困难,锻件容易粘在冲头上。锻造精度要求高,只能一火成形,没有二火锻造可能,因为锥鼓内壁的四个纵向键在二火很难重合,锻造充填难度大。

模具设计及竞彩足球投注制定
设备吨位的确定
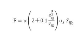
螺旋压力机的锻造成形力计算可按下式计算:

式中:
α- 与模锻方式有关的系数,开式模锻该值为4;F- 螺旋压力机成形力(N);S 锻- 包括毛边在内的锻件在分模面上的投影面积(mm2);V 锻- 锻件体积(mm3);σs- 锻件在终锻温度下的屈服极限(MPa),通常可用同温度下的强度极限σb 代替。
上式适用于打击一次成形所需的设备吨位,若采用2 ~ 3 次打击成形,则应按计算值减少1/2。考虑在摩擦压力机上只通过2 次打击成形,σs 按终锻温度900℃取值55MPa;S 锻=57415mm2;V 锻≈ 1421000mm3;把参数代入公式,经计算,F ≈ 24860kN。故可选用2500t 摩擦压力机。
结构设计
⑴终锻型腔。锥鼓为轴对称变形的短轴类回转体锻件,可采用闭式溢毛边模锻锻造。通过溢出少量毛边,可以提高薄壁上口的成形条件,锻件容易充满。只设计终锻型腔,直接锻造成形。⑵增加定位凸台。锻件为回转体,在锻件结构上缺少在模具型腔定位的结构,容易在锻造过程中在下模内旋转,在锥鼓内壁产生折叠。在分模面桥部位置设计定位凸台耳朵(见图3 红色标示位置)。后续在切边工序,将增加的凸台切除。

⑶增加镶块结构。锥鼓的内壁为非体彩竞猜面,产品质量要求高。而模具的冲头部位,是材料流动的主要区域。因金属变形流动,在模具表面产生激烈的摩擦,容易引起模具失效,造成锻件的形状、尺寸和表面质量不符合要求。将模具的冲头用H13 材料单独做成镶块(见图4)。H13 材料在较高温度时具有较好的强度和红硬性,高的耐磨性等特点,能保证模具冲头寿命。在模具出现失效时,更换方便,提高生产效率。而且将上模的冲头做成镶块,能提高模具的体彩竞猜效率,减少模具材料损耗。

⑷增加杆部摩擦力。锥鼓壁厚较薄,内壁斜度为0.8°,生产过程中容易出现热收缩而产生锻件粘冲头、出模困难等情况。造成生产中断和模具提前失效等后果。考虑设备有顶出机构,可增加锻件在下模型腔的摩擦力,让锻件粘在下模,由顶杆将锻件顶出,即可解决粘上模的情况。将锥鼓下端的杆部的拔模斜度设计成-1°。在实际生产中,杆部的接触面过小,阻力达不到预期效果。因此将锥鼓杆部恢复图纸要求,内壁外侧10mm 位置的拔模斜度设计成-1°(图5)。

竞彩足球投注制定
综上分析结果,锻造竞彩足球投注方案:下料→中频感应加热→自由锻镦粗→模锻→热切边→抛丸→热处理→抛丸→检测(硬度、力学性能、晶粒度、探伤等)。
模拟分析
利用金属塑性成形仿真软件DEFORM-3D,对竞彩足球投注和模具进行仿真分析。模拟初始条件设置如下:锥鼓材料为4140;坯料规格为φ 110mm×175mm;坯料温度为1180℃;设备为2500t 摩擦压力机。坯料为塑性体,模具为刚性体;摩擦系数为0.3;坯料与空气换热系数取为0.02N/(s·mm·℃ ),模具与坯料之间的热传递系数取为11N/(s·mm·℃ ),模具与空气换热忽略不计。
依次按竞彩足球投注分两阶段进行模拟:一是自由锻镦粗至H=56mm;二是模锻成形。镦粗阶段成形简单,现主要分析锻造成形过程。由图6 可知,锻造最大的成形载荷为2440t,2500t摩擦压力机能满足生产需要。仿真结果表明,采用现行的锻造竞彩足球投注方案和模具,模拟效果好,锻件的模拟结果满足要求。
分析图6 温度分布可知,变形过程中,锻模首先与坯料接触,在锻打初始阶段,这部分坯料由于与模具接触,热损耗较大。锻打结束后,锥鼓由正挤压杆部和反挤压锥鼓内壁等方式填充模膛。变形热和摩擦产生的热量较大补偿了温度损失,因此温度下降较少。锻打完成后,锻件整体温度仍然较高,毛边温度在900℃以上,能够满足后续热切边竞彩足球投注对锻件温度的要求。
分析图6 锻造载荷曲线可知,曲线可分为缓慢上升和急剧上升两个阶段,成形开始后锻造载荷缓慢上升,直到接近成形终了时第二锤的载荷急剧上升,锻打结束时最大载荷达到2440t。第一锤模拟结束时,坯料主要以挤压方式充填模具型腔,在锻造后期,变形金属外流至毛边桥部时会受到强烈的阻碍作用,载荷随上模行程增大而急剧增大。
图7 为锥鼓锻造过程中坯料速度场分布图。从图中可以看出,坯料主要以挤压方式成形,材料充填比较容易,在锻造后期桥部附近的外流金属受到强烈阻碍作用,转而流向未充满的锥鼓内壁上口的圆角部位。整个阶段锻件填充饱满,质量良好。

图6 锻造载荷及温度曲线

图7 锻造过程中的速度场
竞彩足球投注试制
实际生产过程,坯料经过自由锻镦粗后,在终锻模型腔内经过2 锤锻打成形。模具投入使用后,该锻件已经进入批量生产验证,尺寸满足图纸要求,质量稳定,产品合格率达到99%以上,材料利用率达到88.5%。图8 所示为切边工序结束后的产品实物和锻件的晶粒度照片。

结论
⑴采用自由锻镦粗和模锻相结合的竞彩足球投注可一火成形精度要求高的锥鼓锻件。
⑵采用数值模拟方法可以有效辅助锻造竞彩足球投注的设计,提高设计效率。
⑶模具易损部位采用镶块结构,可提高模具寿命,保证生产效率。
⑷采用负角设计拔模斜度,可防止锻件粘模,提高模具寿命,保证生产效率。